Codul Muncii Art 17





Proiect Codul Muncii By Adrian Dimitriu Issuu

Proiect Codul Muncii By Adrian Dimitriu Issuu

Codul Muncii Actualizat 2010

Codul Muncii Actualizat 2010

02 Minuta Privind Informarea Prealabila Angajarii Cu Desf Act In Tara Art 17cmr Doc

02 Minuta Privind Informarea Prealabila Angajarii Cu Desf Act In Tara Art 17cmr Doc

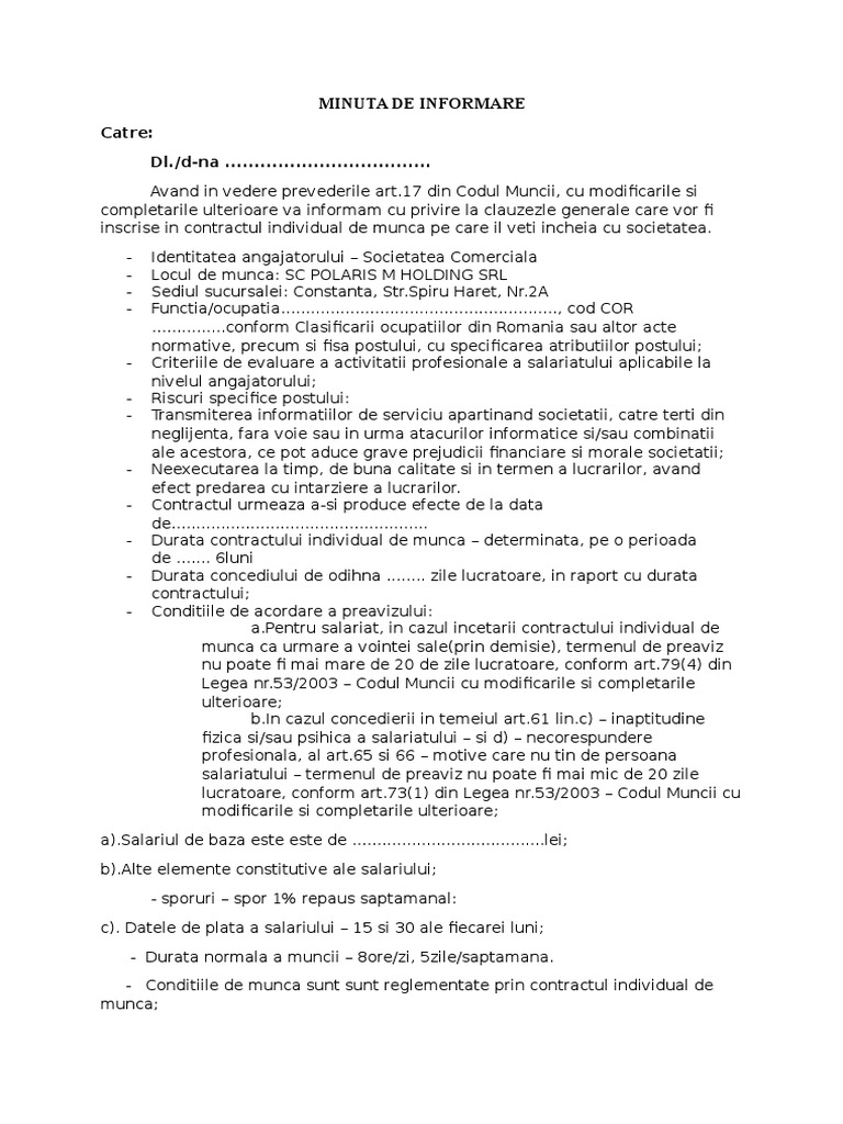
Minuta De Informare

Minuta De Informare

Doc Subiecte Dreptul Muncii Apostu Oana Academia Edu

Doc Subiecte Dreptul Muncii Apostu Oana Academia Edu

Contractul Individual De Munca 2014 Model Si Info Utile

Contractul Individual De Munca 2014 Model Si Info Utile

Contractul Individual De Munca 2014 Model Si Info Utile

Minuta De Informare Editabil

Minuta De Informare Editabil

Codul Muncii Itm Salaj

Codul Muncii Itm Salaj

Codul Muncii

Codul Muncii

Art 17 Codul Muncii

Art 17 Codul Muncii

Codul Muncii Actualizat 2006 Psihologia Online

Codul Muncii Actualizat 2006 Psihologia Online

2

2

Art 17 Codul Muncii

Art 17 Codul Muncii

2

2

2

2

Documentele Solicitate Angajatorilor De Către Inspectorii De Muncă In Cadrul Acţiunilor De Control Pdf Free Download

Documentele Solicitate Angajatorilor De Către Inspectorii De Muncă In Cadrul Acţiunilor De Control Pdf Free Download

Noul Cod Al Muncii Mihaela Andreea Academia Edu

Noul Cod Al Muncii Mihaela Andreea Academia Edu

Http Dialogsocial Gov Ro Wp Content Uploads 2019 02 2012 12 14 Ccm Servicii Comunitare Si Utilitati Publici Pdf

Http Dialogsocial Gov Ro Wp Content Uploads 2019 02 2012 12 14 Ccm Servicii Comunitare Si Utilitati Publici Pdf

Codul Muncii Actualizat 2006 Psihologia Online

Codul Muncii Actualizat 2006 Psihologia Online

Contractul Individual De Munca 2014 Model Si Info Utile

Contractul Individual De Munca 2014 Model Si Info Utile

Source : pinterest.com